A autoavaliação, também chamada avaliação interna ou avaliação institucional, é um processo avaliativo conceituado e autogerido pela comunidade acadêmica que detém a titularidade da avaliação. Envolve a participação de distintos atores da academia ou externos a ela (docentes, discentes, egressos, técnicos e outros), obtendo resultados mais bem apropriados, pois são frutos do trabalho participativo. Os resultados de uma autoavaliação transparente e competente, resultam em conhecimentos sobre a realidade do Programa no olhar dos sujeitos que o constituem, em seu contexto histórico.
Clique aqui para conferir um relatório detalhado da nossa Autoavaliação.
1. Apresentação
A Universidade Federal Rural de Pernambuco (UFRPE) iniciou o processo de autoavaliação institucional dos Programas de Pós-Graduação (PPGs) em 2020, correspondendo às atividades desenvolvidas no ano de 2019. Assim, a determinação dos pontos estratégicos da análise dos PPG da UFRPE foi estabelecida e periodicamente acompanhada por uma Comissão formada por docentes, discentes e servidores técnico-administrativos e coordenada pela Pró-reitora de Pós-Graduação. Esta comissão realizou a avaliação sistemática dos dados obtidos nos Programas, concluindo um ciclo de seis autoavaliações (2019-2024) dos Programas da UFRPE (https://www.prpg.ufrpe.br/pt-br/relatorios-autoavaliacao). Os resultados comparativos entre os anos mostraram uma evidente evolução em diversas atividades acadêmicas avaliadas e, também foi importante para corrigir as fragilidades detectadas.
A experiência prévia obtida nos quatro primeiros relatórios de autoavaliação possibilitou avanços importantes na identificação das forças, fragilidades e oportunidades dos Programas, assim como na realização do planejamento estratégico dos PPGs e ações com o objetivo de proporcionar melhores condições acadêmicas e administrativas aos Programas. As autoavaliações anteriores proporcionaram um alicerce para reforçar a identidade e a missão dos Programas, despertando para a necessidade de focar em soluções inovadoras de impacto social, econômico, ambiental e cultural para resolver problemas no Estado de Pernambuco e na Região Nordeste.
2. Procedimentos da autoavaliação
O processo de autoavaliação ocorre por meio do planejamento dos formulários, seguido pela coleta e análise dos dados de discentes e docentes do PPGE. Toda a parte de planejamento e coleta é realizada pela PRPG que, em seguida, envia os dados coletados para a coordenação do PPGE. Este processo estará alinhado com as metas e objetivos do PPGE, bem como a ficha de avaliação da CAPES para a área de Ciências Agrárias I. Nesse sentido, a nossa autoavaliação considera os seguintes aspectos:
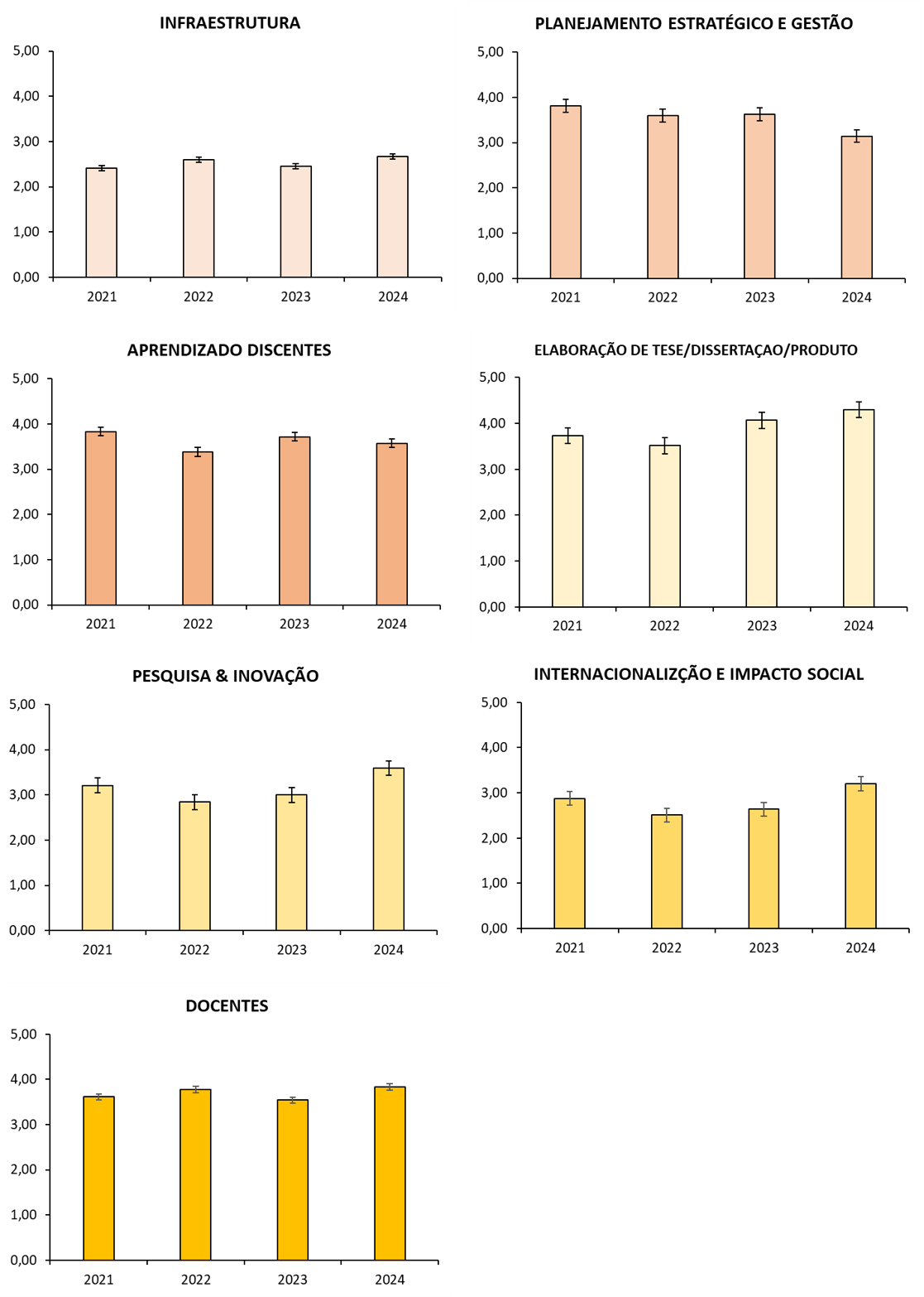
1. Infraestrutura
2. Planejamento Estratégico e Gestão do Programa
3. Processo de Formação (Ensino)
4. Orientação
5. Pesquisa & Inovação
6. Internacionalização e Inserção Social
3. Síntese dos resultados
3.1. Autoavaliação dos discentes
Ao considerarmos todos anos de avaliação (2022-2024), nos sete eixos avaliados (infraestrutura; planejamento estratégico e gestão; formação de discentes – ensino; orientação; pesquisa e inovação; internacionalização; e discentes), o PPGE apresenta uma média geral de 3,63±0,31 (média ± erro padrão), o que indica um conceito entre Razoável e Bom.
Ao analisarmos os eixos de forma separada, a infraestrutura foi o único eixo com média geral abaixo de 3,00. A média geral dos quesitos avaliados dentro do eixo infraestrutura foi de 2,45±0,32. Essa nota na infraestrutura indica uma necessidade de um maior investimento na infraestrutura do PPGE. Por outro lado, os eixos de formação de discentes (ensino) e orientação apresentou uma média geral de 3,86±0,26 e 4,28±0,29, respectivamente; o que garante um conceito bom e demonstra a excelência na formação dos nossos discentes. O mesmo padrão ocorreu para os eixos de produção do conhecimento científico e de internacionalização e inserção social do PPGE que obtiveram médias gerais de 3,72±0,35 e 3,27±0,39, respectivamente.

3.1. Autoavaliação dos docentes
Ao considerarmos os quatro anos de avaliação (2021 a 2024), nos sete eixos avaliados (infraestrutura; planejamento estratégico e gestão; formação de discentes – ensino; orientação; pesquisa e inovação; internacionalização; e discentes), o PPGE apresenta uma média geral de 3,32±0,42 (Quadro 4), o que indica um conceito entre Razoável e Bom na avaliação dos docentes do PPGE.
Ao analisarmos a avaliação dos docentes nos eixos de forma separada, a Infraestrutura e Internacionalização e Impacto Social foram os únicos eixos avaliados com itens com média geral abaixo de 3,00. Essa nota no eixo infraestrutura, assim como na avaliação dos discentes, indica uma necessidade de um maior investimento na infraestrutura do PPGE.

4. Considerações finais
Os resultados obtidos na autoavaliação 2021-2024 retratam a situação atual do ensino e pesquisa do PPGE bem como a sua gestão e o planejamento estratégico do programa. Do ponto de vista dos discentes, a Infraestrutura é sem dúvida o eixo com menores médias de aprovação. Por outro lado, de acordo com a avaliação dos discentes, a formação de discentes (ensino) e orientação são os pontos fortes do PPGE. Para os docentes, a Infraestrutura também é o eixo com menores médias. Já o planejamento estratégico e gestão, o aprendizado dos discentes e a orientação são os pontos fortes.
Apesar de alguns itens avaliados estarem com média abaixo de 3, de uma maneira geral, os resultados indicam um crescimento de itens importantes como, por exemplo, o incentivo a publicação, a formação de discentes. Por outro lado, é necessário um trabalho intenso em alguns itens como, por exemplo, a internacionalização do programa e o impacto social.
Por fim, o presente relatório será utilizado como base para as discussões e melhorias do ambiente acadêmico do PPGE UFRPE, além de culminar num documento que será de extrema importância para o preenchimento do Relatório de Avaliação Quadrienal da CAPES (2021-2024).

